En las últimas horas, la Nación actualizó las escalas salariales del personal de las fuerzas de seguridad federales, las cuales estarán vigentes a partir del 1° de junio, para efectivos de Gendarmería, Prefectura Naval, Policía Federal y de Seguridad Aeroportuaria, y el Servicio Penitenciario.
La decisión se hizo efectiva a través de la Resolución 441/2024 del Ministerio de Seguridad, publicada este viernes en el Boletín Oficial.
“Resulta necesario fijar una escala de haberes para el personal en actividad de las fuerzas policiales y de seguridad dependientes del Ministerio de Seguridad, que reconozca una adecuada jerarquización en relación con la capacidad, responsabilidad y dedicación que demanda la correcta ejecución de su actividad”, señaló el Poder Ejecutivo.
En el caso del haber mensual para personal de Gendarmería varía según la jerarquía, siendo el de grado II el de menor paga con $521.957,57, mientras que un Comandante General pasará a cobrar $1.932.058,19.
Además, se establecieron los importes correspondientes al suplemento particular “por Funciones de Prevención Barrial” y de la compensación “por Recargo de Servicio”. En el suplemento, el monto mínimo pasará a ser de $251.827,85, mientras que el máximo $806.307,21. Con respecto a la compensación varía, no solo por jerarquía, sino también por la cantidad de horas (de 3 a 5, y más de 5). El mínimo oficializado será entre poco más de 8 mil pesos y $20.500; mientras que el máximo oscila entre 16 mil pesos y poco más de $41.000.

En el caso de la Prefectura Naval Argentina, se fijó el haber mensual que varía también de acuerdo al grado del personal. El haber máximo asciende a $1.932.058,20, en el caso de un Prefecto General, mientras que un Marinero -el menor grado- subirá a $574.153,34.
Con respecto a la compensación por Recargo de Servicio, el mínimo varía entre 8 mil pesos y $16 mil; mientras que el máximo oscila entre 16 mil pesos y $41 mil.

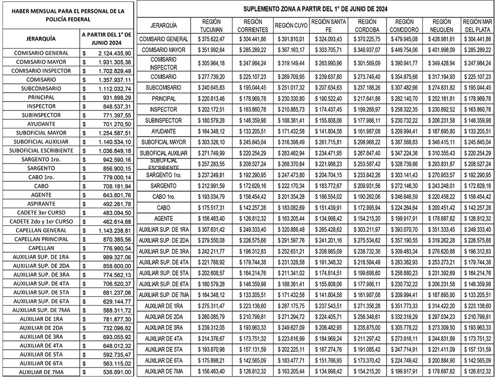
El artículo 3° fijó a partir de este mes el haber mensual, los importes correspondientes al suplemento particular por “Zona”, como así también el valor del Servicio de Policía Adicional y de las Compensaciones, que percibe el personal con estado policial en actividad y el personal Auxiliar de Seguridad y Defensa. En efecto un auxiliar de 7ma cobrará $538.891,00, mientras que un comisario general -grado mayor de la PFA- $2.124.435,90.

Se fijaron también los importes correspondientes al “complemento por responsabilidad jerárquica” que perciben el director y el subdirector o la subdirectora Nacional de la Gendarmería; el prefecto Nacional Naval y el subprefecto de la Prefectura Naval y el jefe y el subjefe de la Policía Federal. Oscilan de acuerdo al cargo entre 248 y 275 mil pesos.

Para el personal policial de la Policía de Seguridad Aeroportuaria, el sueldo básico para un aspirante a oficial será de $145 mil; mientras que el máximo para un comisionado general llegará a $1.032.651,80.

Por último, el Gobierno nacional consideró “propicio” actualizar el total de los haberes mensuales y suplementos generales y particulares correspondientes al Personal del Servicio Penitenciario Federal. En este marco, se fijó, a partir del 1º de junio de 2024 el “Haber Mensual”, las compensaciones por “Fijación de Domicilio” y “Variabilidad de Vivienda”, el complemento particular por “Función Ejecutiva”, los suplementos particulares por “Zona Sur” y “Título Académico”, el “Régimen de Viáticos”, el concepto indemnizatorio “Resarcimiento de Gastos” y el beneficio “Reintegro de Gastos de Sepelio”, para el personal del SPF. Los haberes varían entre un mínimo de 271.512,61 pesos mensuales y el máximo que se posiciona por encima de los dos millones de pesos, dependiendo del cargo.






